ΤΟ ΑΠΟΤΕΛΕΣΜΑ ΕΙΝΑΙ ΠΑΝΤΑ 2
Παρουσιάζεται η διαδικασία και ο μαθηματικός συλλογισμός που
αποδεικνύει το αποτέλεσμα.
Καλή διασκέδαση!
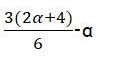
Σκέψου έναν αριθμό
π.χ. α
Διπλασίασε τον αριθμό 2α
Πρόσθεσε 4 2α+4
Τριπλασίασε τον αριθμό που βρήκες 3(2α+4)
Το αποτέλεσμα είναι πάντα 2 .
Ο συλλογισμός συνοψίζεται ως εξής:
ΠΗΓΗ: περιοδικό «Ευκλείδης»




Δεν υπάρχουν σχόλια:
Δημοσίευση σχολίου